¿Por qué este lunes se considera el día más triste del año?
Te contamos el origen de este día y lo que puedes hacer para combatir la tristeza

Hoy, lunes 18 de enero, no es un día cualquiera; se conmemora el día más triste del año, el cual tiene lugar cada tercer lunes de enero. También conocido como Blue Monday, el origen de esta fecha se remonta al 2005, cuando el psicólogo Cliff Arnall, profesor de la Universidad de Cardiff, aseguró haber encontrado la fórmula para determinar el peor día del año, con motivo de una campaña publicitaria para una agencia de viajes.
El frío característico de la época, la presión por las deudas de diciembre, no haber cobrado el primer sueldo y el hecho de que, para esta fecha, por lo general, se empieza a desistir de los propósitos de año nuevo, son algunas de las razones en las que se basa Arnall. Este año, además, se incluye otro factor importante: la pandemia de COVID-19, que ha propiciado la tristeza colectiva.
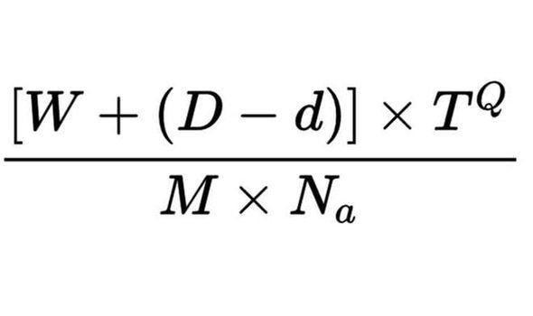
La fórmula matemática del Blue Monday es:

“W”: “weather” (clima).
“D”: “debt” (deudas).
“T”: “time since Christmas” (tiempo desde las fiestas navideñas).
“Q”: “time since failure of attempt to give something up” (tiempo desde que fallamos en algo que nos propusimos).
“M”: “low motivational level” (escasa motivación).
“NA”: “need to take action” (necesidad de actuar).
Con el paso de los años, esta fórmula ha sido muy criticado por los expertos, quienes aseguran que la misma no tiene ningún fundamento científico. Es tanto así que en 2016 se inició la campaña “Stop Blue Monday”, donde el propio Arnall invitaba a desmontar el mito del día más triste del año, por carecer de evidencia suficiente.
Pese a ello, la conmemoración de esta fecha sigue teniendo lugar en gran cantidad de países alrededor del mundo. Y siendo sinceros, debemos admitir que lo planteado por esta fórmula tiene cierta lógica, pues para nadie es un secreto que el lunes es el día más odiado de la semana y enero el mes más difícil para nuestro bolsillo.

Estilos
Estilos